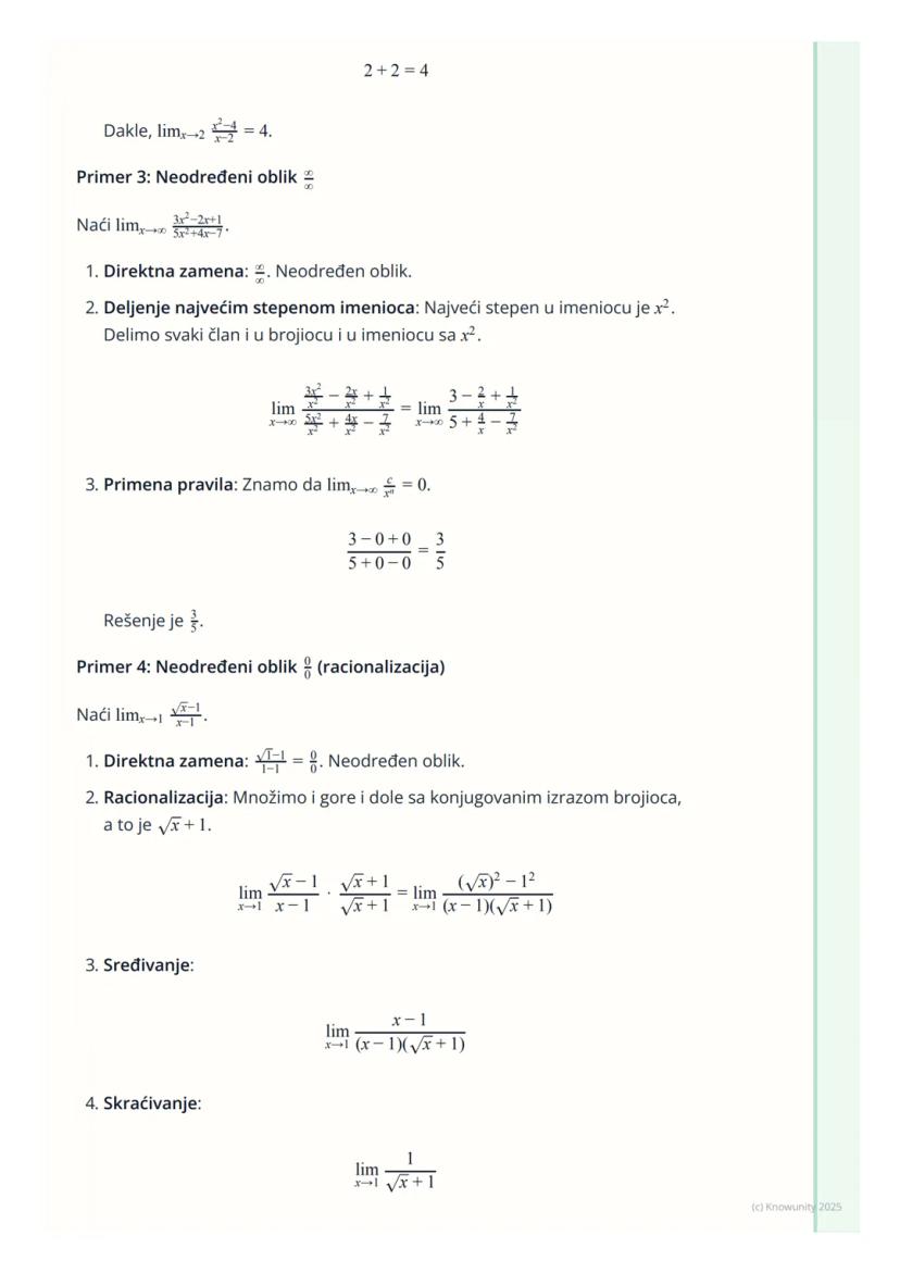
Definisanje limesa funkcije, izračunavanje jednostranih limesa, primena osobina limesa i rešavanje neodređenih oblika.
Mag-sign up para makita ang contentLibre ito!
Access sa lahat ng dokumento
Pagbutihin ang iyong mga grado
Sumali sa milyong mga estudyante













